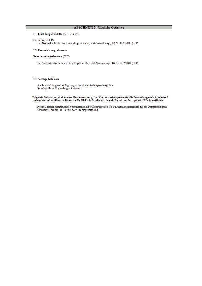
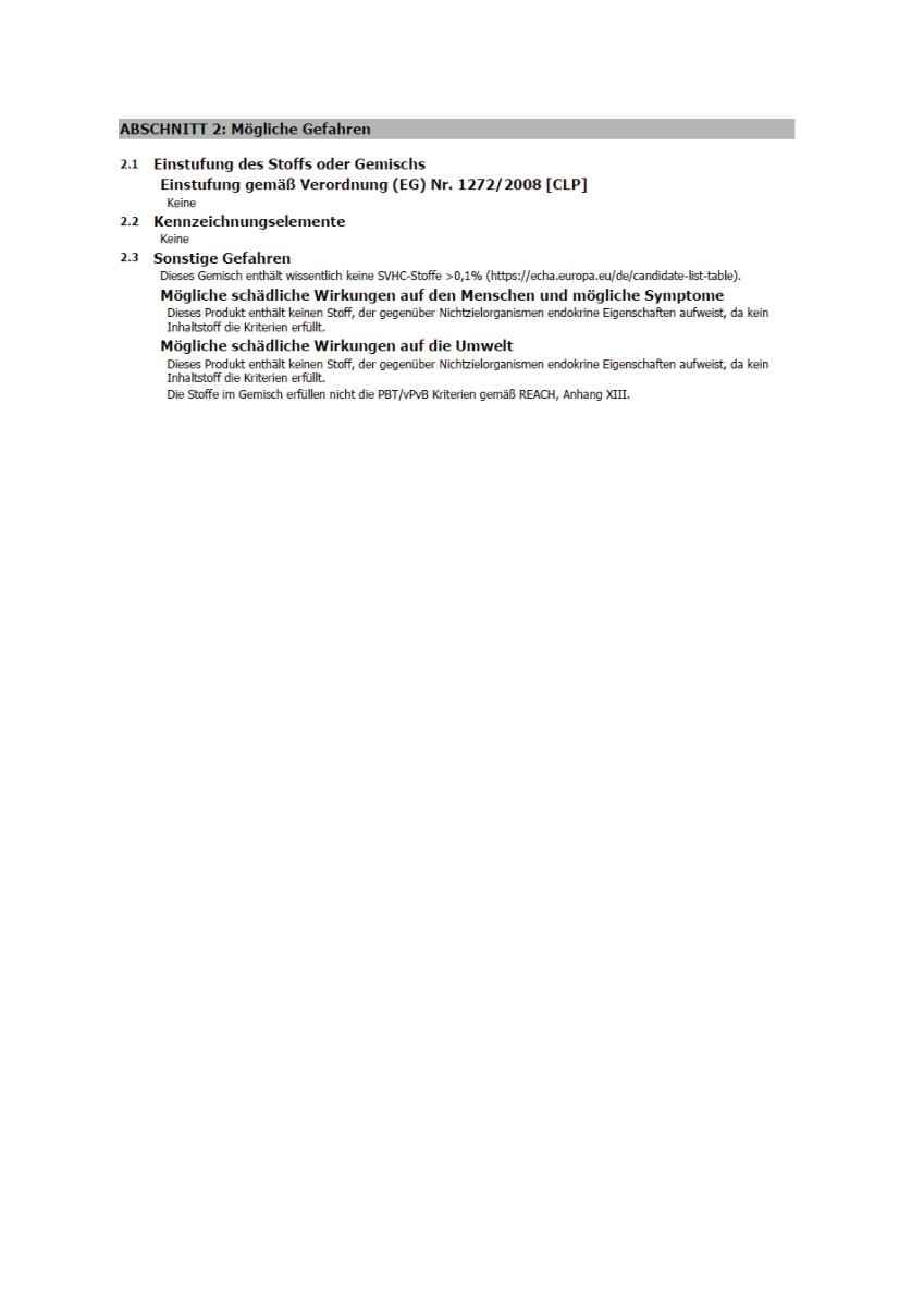
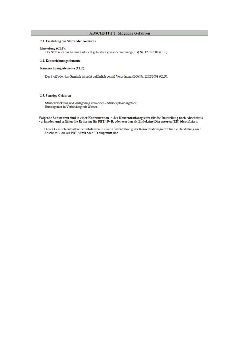
Zum Hauptinhalt springen Zur Suche springen Zur Hauptnavigation springen

Kleister

Kleister sorgt für den sicheren Halt von Tapeten. Damit das Tapezieren leicht von der Hand geht und die Ergebnisse überzeugen, ist es wichtig, den richtigen Tapetenkleister auszuwählen. Mehr erfahren
Artikel   15
Produkte filtern  
15
Papier-Kleister ca. 0,2 kg Papier-Kleister ca. 0,2 kg
€ 1,99
€ 9,95 / kg
Metylan Tapetenkleister Vlies ca. 0,18 kg Metylan Tapetenkleister Vlies ca. 0,18 kg
€ 8,79
€ 48,83 / kg
Rabatt
Erfurt Tapetenkleister Vlies-Rauhfaser ca. 0,2 kg Erfurt Tapetenkleister Vlies-Rauhfaser ca. 0,2 kg
UVP⁠: € 6,99*
€ 4,99*
€ 24,95 / kg
Sensation Vlies-Kleister ca. 0,2 kg Sensation Vlies-Kleister ca. 0,2 kg
€ 2,99
€ 14,95 / kg
POCOline Vlies-Kraftkleister ca. 0,2 kg POCOline Vlies-Kraftkleister ca. 0,2 kg
€ 4,99
€ 24,95 / kg
POCOline Tapetenkleister Vlies ca. 5 kg POCOline Tapetenkleister Vlies ca. 5 kg
€ 15,99
€ 3,20 / kg
Metylan Wandbelagskleber Ovalit ca. 750 g Metylan Wandbelagskleber Ovalit ca. 750 g
€ 9,99
€ 13,32 / kg
POCOline Papier-Kraftkleister ca. 0,2 kg POCOline Papier-Kraftkleister ca. 0,2 kg
€ 4,99
€ 24,95 / kg
Erfurt Tapetenkleister Rauhfaser ca. 0,2 kg Erfurt Tapetenkleister Rauhfaser ca. 0,2 kg
€ 4,99
€ 24,95 / kg
POCOline Fertigkleister Spezial ca. 5 kg POCOline Fertigkleister Spezial ca. 5 kg
€ 13,99
€ 2,80 / kg
Metylan Tapetenkleister Vinyl & Spezial ca. 0,18 kg Metylan Tapetenkleister Vinyl & Spezial ca. 0,18 kg
Baufan Latexfarbe Bindemittel farblos ca. 0,75 l Baufan Latexfarbe Bindemittel farblos ca. 0,75 l
€ 4,99
€ 6,65 / Liter
Metylan Tapetenkleister Papier ca. 0,125 kg Metylan Tapetenkleister Papier ca. 0,125 kg
€ 4,99
€ 39,92 / kg
decotric Vlies-und Gewebekleber ca. 0,5 kg decotric Vlies-und Gewebekleber ca. 0,5 kg
€ 9,99
€ 19,98 / kg
Rabatt
Erfurt Tapetenkleister ca. 0,2 kg Erfurt Tapetenkleister ca. 0,2 kg
NUR ONLINE
UVP⁠: € 7,99*
€ 4,49*
€ 22,45 / kg

Kleister – tapezieren wie die Profis

Bei Ihrem POCO Möbeldiscounter finden Sie das passende Produkt für jede Wandbeschaffenheit und jede Tapete. Grundsätzlich haben Sie die Wahl zwischen folgenden Kleisterarten:

  • herkömmlicher Tapetenkleister
  • Spezialkleister mit höherer Klebkraft (ideal für Raufaser- und schwere Prägetapeten)
  • Rollkleister zum Aufbringen auf die Wand (ideal bei Vliestapeten)
  • Instant-Kleister (nur drei Minuten Wartezeit nach dem Anrühren)
  • Fertig-Kleister (oft als Konzentrat, nach dem Verdünnen sofort nutzbar)

Inhaltsverzeichnis

  1. Welchen Kleister benötige ich für mein Renovierungsprojekt?
  2. Wie verarbeite ich Kleister richtig?
  3. Welcher Kleister ist passend für Vliestapeten?

Welchen Kleister benötige ich für mein Renovierungsprojekt?

Die Art der Tapete bestimmt darüber, welchen Tapetenkleister Sie kaufen sollten. Normaler Kleister eignet sich zum Verkleben von einfachen, leichten Papiertapeten. Möchten Sie schwerere Tapeten wie dicke Prägetapeten oder saugfähige Raufasertapete verarbeiten, greifen Sie zu Spezialkleister. Dieser enthält Methylcellulose und einen geringen Anteil Kunstharz. Diese Inhaltsstoffe verstärken die Klebkraft im Vergleich zum herkömmlichen Kleister um etwa zehn Prozent. Die Kleister eignen sich auch, um die Tapeten im Badezimmer oder in der Küche anzubringen. Dort stellt die hohe Luftfeuchtigkeit eine Belastung für einfachen Kleister dar.

Wie verarbeite ich Kleister richtig?

Richten Sie sich beim Anrühren des Kleisters nach den Angaben auf der Packung. Die Hersteller empfehlen das ideale Mischungsverhältnis von Kleister und Wasser. Rühren Sie die Mischung so lange, bis alle Klümpchen aufgelöst sind, und lassen Sie den Tapetenkleister dann etwa 30 Minuten ziehen. So erreicht er seine volle Haftkraft. Danach kleistern Sie die Rückseiten der zugeschnittenen Bahnen ein und legen diese zusammen. Tapezieren Sie erst, nachdem der Kleister 10 bis 15 Minuten einziehen konnte. Möchten Sie ein Kleistergerät nutzen, schauen Sie auf der Kleisterpackung nach der Eignung des Produkts.

Welcher Kleister ist passend für Vliestapeten?

Vliestapeten sind ideal, wenn Sie keinen Tapeziertisch anschaffen möchten. Denn hier kleistern Sie die Wand ein und kleben die trockene Tapete an den Putz. Dazu benötigen Sie sogenannten Rollkleister. Noch schneller gelingt die Renovierung mit bereits fertig angerührtem Kleister oder Instant-Kleister ohne Ziehzeit.

Bestellen Sie jetzt den passenden Kleister für Ihr Renovierungsprojekt online bei POCO!